컴공생의 다이어리
연관성 척도(Measure of Association) - 공분산(Covariance), 상관계수(Correlation Coefficient) 본문
확률및통계
연관성 척도(Measure of Association) - 공분산(Covariance), 상관계수(Correlation Coefficient)
컴공 K 2021. 4. 14. 00:01728x90
연관성 척도(Measure of Association)란?
- 2개 또는 그 이상의 항목에 대한 자료들이 상호 관련되어 있는지를 나타내는 척도
- 선형 관계(Linear relationship)에 대한 연관성 척도에는 공분산(Covariance), 상관계수(Correlation Coefficient)가 있음
공분산(Covariacne)
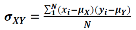
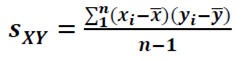
- 두 변수 (X, Y)가 자기 평균으로부터 떨어진 값을 서로 곱한 후, 모두 합하여 모집단에서는 N, 표본에서는 n-1로 나눈 값
| 모집단 공분산 | 표본 공분산 |
![]() |
![]() |
![]() |
|
- 두 변수가 어느 방향(부호, sign)으로 얼마나 변동(크기, magnitude)하는 지를 나타냄
공분산 속성
![]() |
x와 y는 양의 선형관계 |
![]() |
x와 y는 음의 선형관계 |
![]() |
x와 y는 선형적 관계를 갖지 않음 |
상관계수(Correlation Coefficient)
- 두 변수의 공분산을 표준편차의 곱으로 나눈 값
- 피어슨 상관계수

- 상관계수는 -1이상 1이하
- 상관계수가 0초과 1이하이면 X와 Y는 양의 선형 관계를 의미
- 상관계수가 -1이상 0미만이면 X와 Y는 음의 선형 관계를 의미
- 상관계수가 0이면 X와 Y는 상관이 없음
출처 : EXCEL, SPSS, R로 배우는 통계학입문/강상욱 외 8인 공저/자유아카데미/2014
728x90
반응형
'확률및통계' 카테고리의 다른 글
| 공분산(Covariance)의 성질 (0) | 2021.04.24 |
|---|---|
| 확률(Probability)의 정의, 규칙, 종류(결합, 주변) (0) | 2021.04.15 |
| 변동성 척도(Measure of Variability:Spread) - 범위(Range), 사분위간 범위(IQR), 분산(Variance)과 표준편차(Standard Devication), 변동계수(Coefficient of Variation) (0) | 2021.04.10 |
| 중심위치 척도(Measure of Location) - 평균(Mean), 중앙값(Median), 최빈값(Mode), 사분위수(Quartile) (0) | 2021.04.09 |
| 수치 기술 통계(Numerical Descriptive Statistics)란? (0) | 2021.04.08 |
Comments





